1521번: 랜덤 소트
첫째 줄에 순열의 크기 N이 주어진다. 둘째 줄에 순열에 들어있는 수 N개가 주어진다. 이 수는 모두 1보다 크거나 같고, N보나 작거나 같으며, 같은 수는 2번 이상 주어지지 않는다. 또, N은 8보다
www.acmicpc.net
1. 문제 분석
N = 8이하 자연수라서 check배열을 이용해 최대 8!의 경우의 수를 구하여 답을 얻을 수 있다. 그리고 bfs와 memoization을 이용해 기댓값을 구하면 된다.
2. 실패 과정

살짝 확률을 경우의 수로 정의하는 것과 햇갈려서 횟수의 합과 경우의 수를 나눴다. 솔직히 이래도 괜찮지 않을까? 하고 무심코 넘어갔는데.. 1시간 고민 끝에 틀린 이유를 알 수 있었다. (아래 참고)
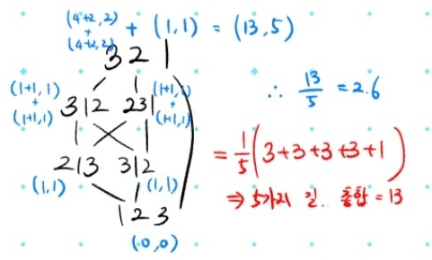
3. 성공 과정

위의 그림에서 쓴 글처럼 사실 어느 것을 선택하느냐에 따라 상황이 완전 달라진다. 또한 321->312->213->123으로 가는 확률이 1/전체 가지수 = 1/5 가 아니라 1/3 * 1/2 = 1/6 이다.
이런 논리의 실수로 문제를 이상하게 풀고있다는 것을 깨닫고 어떤 경우를 만드는 기대값을 return함으로 써 다른 수도 갱신해 나갔다...
4. 코드
#include <bits/stdc++.h>
using namespace std;
int N, arr[11];
map<int,double> chk;
double process()
{
int check = 1, n = 0, cnt = 0;
for(int i=0;i<N;i++){
if(arr[i]>arr[i+1]) check = 0;
n *= 10, n+=arr[i];
}
if(check)
return 0;
if(chk[n]) return chk[n];
for(int i=0;i<N;i++){
for(int j=i+1;j<N;j++){
if(arr[i]>arr[j]){
swap(arr[i],arr[j]);
double v = process() + 1;
chk[n] += v, cnt++;
swap(arr[i],arr[j]);
}
}
}
return chk[n]/=cnt;
}
int main()
{
cin>>N;
for(int i=0;i<N;i++){
cin>>arr[i];
}
arr[N]=100;
printf("%.9lf", process());
}

5. 교훈 및 소감
솔직히 이런 실수는 고등학교때 부터 자주 했던 실수인데... 지금도 맞는것 같은데 왜 틀리지... 맞왜틀을 1시간 동안 시전동안 시전하고 있었다.. 통계파트는 싫어서 피하고 있었는데.. 달라지기로 결심했으니 앞으로 통계파트도 열심히 풀어봐야겠다.
'코딩 > 알고리즘' 카테고리의 다른 글
| [알고리즘 개념] Network Flow 최대 유량 알고리즘 (feat. 6086번 풀이) (0) | 2024.04.29 |
|---|---|
| [알고리즘 문제] 13250번 주사위 게임 (feat. 탑-다운, 바텀-업) (0) | 2024.04.12 |
| [알고리즘 문제] 27730번 견우와 직녀 (0) | 2024.04.08 |
| [알고리즘 문제] 16468번 크리스마스 트리 꾸미기 (1) | 2024.04.05 |
| [알고리즘 문제] 2213번 트리의 독립집합 (0) | 2024.04.03 |