오늘 소개할 내용은 역삼각함수 미분인데요. 정의역은 책 마다 쪼~끔씩 다를 수도 있습니다.
참고 서적 : Calculus Early Transcendentals 9 by James Stewart, Daniel K
앞으로를 위해 그래프 모양과 정의역, 치역에 대해서도 이해하는 것을 추천합니다! 정의역, 치역에 따라 결과의 부호가 달라집니다. sec, csc, cot의 경우 1/f[x] 꼴을 이용해 점근선을 파악하면 됩니다.
1. arcsin


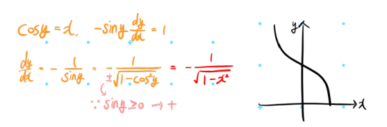
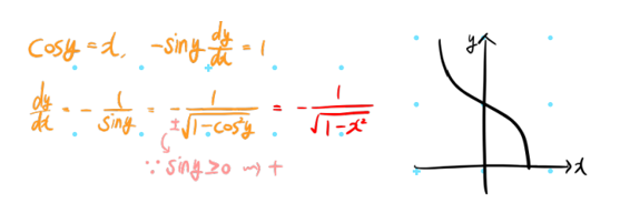
2. arccos


3. arctan


4. arccsc

5. arcsec

6. arccot

7. 정리 및 팁

co- 가 붙은 함수는 부호가 - 입니다. [sin,cos], [tan,cot], [csc, sec]
하이퍼볼릭 함수의 역함수도 곧 올리겠습니다.
'대학 공부 > 미적분학I' 카테고리의 다른 글
| [미적분학I] 수열과 함수의 대응성, 단조수열정리 (feat. 감점요소) (0) | 2024.05.16 |
|---|---|
| [미적분학I] 감점되기 쉬운 요소 (0) | 2024.04.07 |
| [미적분학] 역쌍곡선 함수의 미분 - feat. 역삼각함수 (0) | 2024.03.31 |